CDS February 2020 Maths Question Paper
CDS QuestionsThe question paper has 100 questions. The duration of the paper is 2 hours.
1. A circle of diameter 8 cm is placed in such a manner that it touches two perpendicular lines. Then another smaller circle is place in the gap such that it touches the lines and the circle. What is the diameter of the smaller circle?
- 4(3 - √2) cm
- 4(3 - 2√2) cm
- 8(3 - √2) cm
- 8(3 - 2√2) cm
2. A square and a rectangle have equal areas. If one side of the rectangle is of length numerically equal to the square of the length of the side of the square then the other side of the rectangle is
- square root of the side of the square
- half the side of the square
- of unit length
- double the side of the square
3. The length and breadth of a rectangle are in the ratio 4:3. Then what is the ratio of the area of the triangle formed by the parts of the diagonals with a long side to the area of the triangle formed by the parts of diagonals with a short side?
- 3 : 4
- 4 : 3
- 16 : 9
- 1 : 1
4. ABCD is a parallelogram where AC and BD are the diagonals. If ∠BAD = 60°, ∠ADB = 90°, then what is BD2 equal to?
- 3/5 AB2
- 3/4 AB2
- 1/2 AB2
- 2/3 AB2
5. A line through the vertex A of a parallelogram, ABCD meets DC in P and BC produced in Q. If P is the mid-point of DC, then which of the following is/are correct?
- Area of ΔPDA is equal to that of ΔPCQ
- Area of ΔQAB is equal to that of ΔPCQ
Select the correct answer using the code given below:
- 1 only
- 2 only
- Both 1 and 2
- Neither 1 nor 2
6. The lengths of sides of a triangle are 3x, 4√y, 5 3√z, where 3x < 4√y < 5 3√z. If one of the angles is 90°, then what are the minimum integral values of x, y, z respectively?
- 1, 2, 3
- 2, 3, 4
- 1, 1, 1
- 3, 4, 5
7. What is the maximum number of circum-circles that a triangle can have?
- 1
- 2
- 3
- Infinite
8. If an arc of a circle of radius 6 cm subtends a central angle measuring 30°, then which one of the following is an approximate length of the arc?
- 3.14 cm
- 2.15 cm
- 2.14 cm
- 2 cm
9. A ladder 5 m long is placed in a room so as to reach a point 4.8 m high on a wall and on turning the ladder over to the opposite side of the wall without moving the base, it reaches a point 1.4 m high. What is the breadth of the room?
- 5.8 m
- 6 m
- 6.2 m
- 7.5 m
10. What is the area of the largest square plate cut from a circular disk of radius one unit?
- 4 square units
- 2√2 square units
- π square units
- 2 square units
11. ABCD is a quadrilateral such that AD = DC = CA = 20 units, BC = 12 units and ∠ABC = 90°. What is the approximate area of the quadrilateral ABCD?
- 269 sq units
- 300 sq units
- 325 sq units
- 349 sq units
12. What is the area of the shaded region in the given figure, if the radius of each of the circles is 2 cm?

- 4√3 - 2π cm2
- √3 - π cm2
- √3 - π/2 cm2
- 2π - 2√3 cm2
13. In the given figure, what is the area of the shaded region?

- 9(π - √3) sq units
- 3(4π - 3√3) sq units
- 3(3π - 4√3) sq units
- 9(√3 - π) sq units
14. In the given figure, if y/x = 6 and = z/x = 5, then what is the value of x?

- 45°
- 30°
- 15°
- 10°
15. ABCD is a trapezium, where AB is parallel to DC. If AB = 4 cm, BC = 3 cm, CD = 7 cm and DA = 2 cm, then what is the area of the trapezium?
- 22√(2/3) cm2
- 22√(3/2) cm2
- 22√3 cm2
- (22√2)/3 cm2
16. Angles are shown in the given figure. What is value of ∠1 + ∠2 + ∠3 + ∠4 + ∠5 + ∠6 + ∠7 + ∠8?

- 240°
- 360°
- 540°
- 720°
17. In the given figure PQ is parallel to RS, ∠AEF = 95°, ∠BHS = 110°, and ∠ABC = x°. Then what is the value of x?

- 15
- 25
- 30
- 35
18. In the given figure, there are three semi circles ABC, AEF and CDF. The distance between A and C is 28 units and F is the mid-point of AC. What is the total area of the three semi circles?

- 924 square units
- 824 square units
- 624 square units
- 369 square units
19. What is the approximate area of the shaded region in the figure given?

- 15.3 cm2
- 25.5 cm2
- 28.4 cm2
- 30.5 cm2
20. The number 2 x 3 x 5 x 7 x 11 + 1 is
- a prime number
- not a prime, but power of a prime
- not a power of a prime, but a composite even number
- not a power of a prime, but a composite odd number
21. How many digits are there in (54)10? (Given that log102 = 0.301 and log103 = 0.477)
- 16
- 18
- 19
- 27
22. In a competitive examination, 250 students have registered. Out of these, 50 students have registered for Physics, 75 students for Mathematics and 35 students for both Mathematics and Physics. What is the number of students who have registered neither for Physics nor for Mathematics?
- 90
- 100
- 150
- 160
23. Which one of the following is the largest number among 22222, 22222, 22222, 22222?
- 22222
- 22222
- 22222
- 22222
24. A two-digit number is 9 more than four times of the number obtained by interchanging its digits. If the product of digits in the two-digit number is 8, then what is the number?
- 81
- 42
- 24
- 18
25. If α and ß are the roots of the quadratic equation x2 + kx - 15 = 0 such that α - ß = 8, then what is the positive value of k?
- 2
- 3
- 4
- 5
26. If (x + k) is the HCF of x2 + 5x + 6 and x2 + 8x + 15, then what is the value of k?
- 5
- 3
- 2
- 1
27. If x2 + 9y2 = 6xy, then what is y:x equal to?
- 1:3
- 1:2
- 2:1
- 3:1
28. What is
equal to?
- 1
- -1
- 0
- 2am-n
29. If x = √2, y = 3√3 and z = 6√6, then which one of the following is correct?
- y < x < z
- z < x < y
- z < y < x
- x < y < z
30. If log x = 1.2500 and y = xlog x, then what is log y equal to?
- 4.2500
- 2.5625
- 1.5625
- 1.2500
31. If the area of a square is 2401x4 + 196x2 + 4, then what is its side length?
- 49x2 + 3x + 2
- 49x2 - 3x + 2
- 49x2 + 2
- 59x2 + 2
32. If x varies as yz, then y varies inversely as
- xz
- x/z
- z/x
- 1/(xz)
33. What is the point on the xy-plane satisfying 5x + 2y = 7xy and 10x + 3y = 8xy?
- (-1, 1/6)
- (1/6, -1)
- (1, 1/6)
- (-1/6, -1)
34. Students of a class are made to sit in rows of equal number of chairs. If number of students is increased by 2 in each row, then the number of rows decreases by 3. If number of students is increased by 4 in each row, then the number of rows decreases by 5. What is the number of students in the class?
- 100
- 105
- 110
- 120
35. What is the median of the data 3, 5, 9, 4, 6, 11, 18?
- 6
- 6.5
- 7
- 7.5
36. In a pi-diagram there are three sectors. If the ratio of the angles of the sectors is 1 : 2 : 3, then what is the angle of the largest sector?
- 200°
- 180°
- 150°
- 120°
37. The maximum marks in a Test are converted from 250 to 50 for the purpose of an Internal Assessment. The highest marks scored were 170 and lowest marks were 70. What is the difference between the maximum and minimum marks scored in the Internal Assessment?
- 15
- 17
- 20
- 24
Directions for the following three items: Read the following information and answer the three items that follow:
The following data presents count of released convicts who have served prison terms (X), those who have received some educational or technical training during their term (Y) and those who were offered Company placement (Z) respectively, from six different jails A, B, C, D, E and F, in the year 2010.

38. Jails with highest and smallest percentage of trained convicts are respectively
- F and D
- D and F
- C and A
- D and A
39. Jail with highest placement rate of trained convicts is
- F
- D
- B
- A
40. Jails from which more than half of the trained convicts are offered jobs, are
- A, B and C
- A, B and D
- A, D and E
- A, E and F
41. In a water tank there are two outlets. It takes 20 minutes to empty the tank if both the outlets are opened. If the first outlet is opened, the tank is emptied in 30 minutes. What is the time taken to empty the tank by second outlet?
- 30 minutes
- 40 minutes
- 50 minutes
- 60 minutes
42. If (x8 + 1/x8) = 47, what is the value of (x6 + 1/x6) = ?
- 36
- 27
- 18
- 9
43. On a plane area, there are two vertical towers separated by 100 feet apart. The shorter tower is 40 feet tall. A pole of length 6 feet stands on the line joining the base of two towers so that the tip of the towers and tip of the pole are also on the same line. If the distance of the pole from the shorter tower is 75 feet, then what is the height of the taller tower (approximately)?
- 85 feet
- 110 feet
- 125 feet
- 140 feet
44. What is the value of sin26° + sin212° + sin218° + …. + sin284° + sin290°?
- 1
- 2
- 4
- 8
45. Two circles of radii 20 cm and 16 cm intersect and the length of common chord is 24 cm. If d is the distance between their centres, then which one of the following is correct?
- d < 26 cm
- 26 cm < d < 27 cm
- 27 cm < d < 28 cm
- d > 28 cm
46. A rectangle is 48 cm long and 14 cm wide. If the diagonal makes an angle θ with the longer side, then what is (sec θ + cosec θ) equal to?
- 775/168
- 725/168
- 375/84
- 325/84
47. Two circles touch internally. The sum of their areas is 136π cm2 and distance between their centres is 4 cm. What are the radii of the circles?
- 11 cm, 7 cm
- 10 cm, 6 cm
- 9 cm, 5 cm
- 8 cm, 4 cm
48. If area of a circle and a square are same, then what is the ratio of their perimeters?
- 2√π
- √π
- √π/2
- √π/4
49. The thickness of cylinder is 1 foot, the inner radius of the cylinder is 3 feet and height is 7 feet. To paint the inner surface it requires one litre of a particular colour. How much quantity of the same colour is required to paint all the surfaces of the cylinder?
- 7/3 litre
- 3/2 litre
- 8/3 litre
- 10/3 litre
50. Suppose a region is formed by removing a sector of 20° from a circular region of radius 30 feet. What is the area of this new region?
- 150π square feet
- 5150π square feet
- 650π square feet
- 850π square feet
51. How many cubic metres of the earth is to be dug out to dig a well of radius 1.4 m and depth 5 m?
- 30.2 cubic metre
- 30.4 cubic metre
- 30.6 cubic metre
- 30.8 cubic metre
52. If the diagonals of a rhombus are x and y, then what is its area?
- xy/2
- xy/4
- xy
- x2 - y2
53. Out of 4 identical balls of radius r, 3 balls are placed on a plane such that each ball touches the other two balls. The 4th ball is placed on them such that this ball touches all the three balls. What is the distance of centre of 4th ball from the plane?
- 2√(3/2) r unit
- (√3 + 2√2)/√2 r unit
- r/(3 - 2√2) unit
- (√3 + 2√2)/√3 r unit
54. A right circular cylinder just encloses a sphere. If p is the surface area of the sphere and q is the curved surface area of the cylinder, then which one of the following is correct?
- p = q
- p = 2q
- 2p = q
- 2p = 3q
55. Let PQRS be the diameter of a circle of radium 9 cm. The length PQ, QR and RS are equal. Semi-circle is drawn with QS as diameter (as shown in the given figure). What is the ratio of the shaded region to that of the unshaded region?

- 25 : 121
- 5 : 13
- 5 : 18
- 1 : 2
56. In the given figure AB is parallel to CD and AC is parallel to BD. If ∠EAC = 40°, ∠FDG = 55°, ∠HAB = x°, then what is the value of x?

- 85
- 80
- 75
- 65
57. Consider the following statements with reference to the given figure:

- The sum of the areas of ΔAOD and ΔBOC is equal to the sum of the areas of ΔAOB and ΔDOC.
- ∠AOD = ∠BOC
- AB + BC + CD + DA > AC + BD
Which of the above statements are correct?
- 1 and 2 only
- 2 and 3 only
- 1 and 3 only
- 1, 2 and 3
58. Two unequal pairs of numbers satisfy the following conditions:
- The product of the two numbers in each pair is 2160
- The HCF of the two numbers in each pair is 12.
If x is the mean of the numbers in the first pair and y is the mean of the numbers in the second pair, then what is the mean of x and y?
- 60
- 72
- 75
- 78
59. If m is the number of prime numbers between 0 and 50; and n is the number of prime numbers between 50 and 100, then what is (m-n) equal to?
- 4
- 5
- 6
- 7
60. Which one of the following is the largest divisor of 3x + 3x+1 + 3x+2, if x is any natural number?
- 3
- 13
- 39
- 117
61. What are the values of p and q respectively, if (x - 1) and (x + 2) divide the polynomial x3 + 4x2 + px + q?
- 1, -6
- 2, -6
- 1, 6
- 2, 6
62. If 5x+1 - 5x-1 = 600, then what is the value of 102x?
- 1
- 1000
- 100000
- 1000000
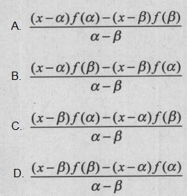
63. If f(x) is divided by (x-α)(x-ß) where α ≠ ß, then what is the remainder?

64. If the points P and Q represent real numbers 0.73 and 0.56 on the number line, then what is the distance between P and Q?
- 1/6
- 1/5
- 16/45
- 11/90
65. The ratio of speeds of X and Y is 5 : 6. If Y allows X a start of 70 m in a 1.2 km race, then who will win the race and by what distance?
- X wins the race by 30 m
- Y wins the race by 90 m
- Y wins the race by 130 m
- The race finishes in a dead heat
66. A train takes two hours less for a journey of 300 km if its speed is increased by 5 km/hr from is usual speed. What is its usual speed?
- 50 km/hr
- 40 km/hr
- 35 km/hr
- 25 km/hr
67. If 6 men and 8 women can do a piece of work in 10 days; and 13 men and 24 women can do the same work in 4 days, then what is the ratio of daily work done by a man to that of a woman?
- 2 : 1
- 1 : 2
- 4 : 3
- 3 : 4
68. In a class room the ratio of number of girls to that of boys is 3 : 4. The average height of students in the class is 4.6 feet. If the average height of the boys in the class is 4.8 feet, then what is the average height of the girls in the class?
- Less than 4.2 feet
- More than 4.2 feet but less than 4.3 feet
- More than 4.3 feet but less than 4.4 feet
- More than 4.4 feet but less than 4.5 feet
69. The number of three-digit numbers (all digits are different) which are divisible by 7 and also divisible by 7 on reversing the order of the digits, is
- Six
- Five
- Four
- Three
70. What is (sin θ - cos θ + 1)/(sin θ + cos θ - 1) - (sin θ + 1)/(cos θ) equal to?
- 0
- 1
- 2sin θ
- 2cos θ
71. What is (tan x + tan y)(1 - cot x cot y) + (cot x + cot y)(1 - tan x tan y) equal to?
- 0
- 1
- 2
- 4
72. What is √[(sec x - tan x)/(sec x + tan x)] equal to?
- 1/(sin x + cos x)
- 1/(tan x + cot x)
- 1/(sec x + tan x)
- 1/(cosec x + cot x)
73. If θ lies in the first quadrant and cot θ = 63/16, then what is the value of (sin θ + cos θ)?
- 1
- 69/65
- 79/65
- 2
74. What is the value of (1 - 2sin2θ cos2θ)/(sin4θ + cos4θ) + 4 equal to?
- 0
- 1
- 2
- 5
75. What is the area of the triangle having side lengths y/z + z/x, z/x + x/y, x/y + y/z?
- (x + y + z)2/xyz
- √(xyz)/(x + y + z)
- √(x/y + y/z + z/x)
- √[(xy + yz + zx)/(xyz)]
76. If the angles of a triangle are 30° and 45° and the included side is (√3 + 1) cm, then what is the area of the triangle?
- (√3 + 1) cm2
- (√3 + 3) cm2
- ½(√3 + 1) cm2
- 2(√3 + 1) cm2
77. ABCD is a plate in the shape of a parallelogram. EF is the line parallel to DA and passing through the point of intersection O of the diagonals AC and BD. Further, E lies on DC, and F lies on AB. The triangular portion DOE is cut out from the plate ABCD. What is the ratio of area of the remaining portion of the plate to the whole?
- 5/8
- 5/7
- 3/4
- 7/8
78. In a circle of radius 5 cm, AB and AC are two chords such that AB = AC =8 cm. What is the length of chord BC?
- 9 cm
- 9.2 cm
- 9.6 cm
- 9.8 cm
79. Which one of the following is a set of solutions of the equation x√x = n√(xx), if n is a positive integer?
- {1, n2}
- {1, √n}
- {1, n}
- {n , n2}
80. If the sum of the digits of a number 10n - 1, where n is a natural number, is equal to 3798, then what is the value of n?
- 421
- 422
- 423
- 424
81. A number divides 12288, 28200 and 44333 so as to leave the same remainder in each case. What is that number?
- 272
- 232
- 221
- 120
82. If m and n are positive integers such that mn = 1331, then what is the value of (m - 1)n-1?
- 1
- 100
- 121
- 125
83. The price of an article X increases by 20% every year and price of article Y increases by 10% every year. In the year 2010, the price of article X was ₹5000 and price of article Y was ₹2000. In which year the difference in their prices exceeded ₹5000 for the first time?
- 2012
- 2013
- 2014
- 2015
84. A sum was put at simple interest at certain rate for 2 years. Had it been put at 1% higher rate of interest, it would have fetched ₹24 more. What is the sum?
- ₹500
- ₹600
- ₹800
- ₹1200
85. The population of two villages is 1525 and 2600 respectively. If the ratio of male to female population in the first village is 27 : 34 and the ratio of male to female population in the second village is 6 : 7, then what is the ratio of male to female population of these two villages taken together?
- 33/41
- 85/82
- 71/90
- 5/6
86. How many integral values of x and y satisfy the equation 5x + 9y = 7, where -500 < x < 500 and -500 < y < 500?
- 110
- 111
- 112
- None of the above
87. Let XYZ be a 3-digit number. Let S = XYZ + YZX + ZXY. Which of the following statements is/are correct?
- S is always divisible by 3 and (X + Y + Z)
- S is always divisible by 9
- S is always divisible by 37
Select the correct answer using the code given below:
- 1 only
- 3 only
- 1 and 2
- 1 and 3
88. For two observations, the sum is S and product is P. what is the harmonic mean of these two observations?
- 2S/P
- S/(2P)
- 2P/S
- P/(2S)
89. What is the least perfect square which is divisible by 3, 4, 5, 6 and 7?
- 764
- 17640
- 44100
- 176400
90. If (x2 - 1) is a factor of ax4 + bx3 + cx2 + dx + e, then which one of the following is correct?
- a + b + c = d + e
- a + b + e = c + d
- b + c + d = a + e
- a + c + e = b + d
91. A wheel makes 360 revolutions in one minute. What is the number of radians it turns in one second?
- 4π
- 6π
- 12π
- 16π
92. What is the least value of (25 cosec2x + sec2x)?
- 40
- 36
- 26
- 24
93. Let 0 < θ < 90° and 100 θ = 90°. If α = Π99n=1 cot nθ, then which one of the following is correct?
- α = 1
- α = 0
- α > 1
- 0 < α < 1
94. If tan 6θ = cot 2θ, where 0 < 6θ < π/2, then what is the value of sec 4θ?
- √2
- 2
- 2/√3
- 4/3
95. A tree of height 15 m is broken by wind in such a way that its top touches the ground and makes an angle 30° with the ground. What is the height from the ground to the point where tree is broken?
- 10 m
- 7 m
- 5 m
- 3 m
96. The angles of elevation of the top of a tower from two points at distances p and q from the base and on the same straight line are 27° and 63° respectively. What is the height of the tower?
- pq
- √(pq)
- pq/2
- √(pq)/2
97. What is cos θ/(1 + sin θ) + 1/(cot θ) equal to?
- cosec θ
- sec θ
- sec θ + cosec θ
- cosec θ - cot θ
98. If a/b = 1/3, b/c = 2, c/d = 1/2, d/e = 3 and e/f = 1/4, then what is the value of abc/def?
- 1/4
- 3/4
- 3/8
- 27/4
99. In covering a certain distance, the average speeds of X and Y are in the ratio 4 : 5. If X takes 45 minutes more than Y to reach the destination, then what is the time taken by Y to reach the destination?
- 135 minutes
- 150 minutes
- 180 minutes
- 225 minutes
100. If the annual income of X is 20% more than that of Y, then the income of Y is less than that of X by p%. what is the value of p?
- 10
- 16 2/3
- 17 1/3
- 20