CDS 2011 (1) Maths Paper Questions
CDS Questions1. The diagonal of a cube is 4√3 cm. What is its volume
- (a) 16 cm3
- (b) 32 cm3
- (c) 64 cm3
- (d) 192 cm3
2. If 2/x + 3/y = 9/x and 4/x + 9/y = 21/xy where x ≠ 0 and y ≠ 0, then what is the value of x + y?
- (a) 2
- (b) 3
- (c) 4
- (d) 8
3. Two trains each 200 m long move towards each other on parallel lines with velocities 20 kmph and 30 kmph respectively. What is the time that elapses when they first meet until they have cleared each other
- (a) 20 s
- (b) 24.8 s
- (c) 28.8 s
- (d) 30 s
4. 'X' is twice as old as 'Y' 3 years ago, when 'X' was as old as 'Y' today. If the difference between their ages at present is 3 years, how old is 'X' at present
- (a) 18 years
- (b) 12 years
- (c) 9 years
- (d) 8 years
5. If Rs. 2,600 is divided among three persons A, B and C in the ratio 1/2 : 1/3 : 1/4, how much does A get
- (a) Rs. 600
- (b) Rs. 800
- (c) Rs. 1,000
- (d) Rs. 1,200
6. For a positive integer n, define d(n) = the number of positive divisors of n. What is the value of d(d(d(12)))?
- (a) 1
- (b) 2
- (c) 4
- (d) None of the above
7. In a triangle ABC, side AB is extended beyond B, side BC beyond C and side CA beyond A. What is the sum of the three exterior angles
- (a) 270°
- (b) 305°
- (c) 360°
- (d) 540°
8. PQR is a triangle right-angled at Q. if X and Y are the mid-points of the sides PQ and QR respectively, then which one of the following is not correct
- (a) RX2 + PY2 = 5 XY2
- (b) RX2 + PY2 = XY2 + PR2
- (c) 4 (RX2 + PY2) = 5 PR2
- (d) RX2 + PY2 = 3 (PQ2 + QR2)
9. A bicycle is running straight towards north. What is the locus of the centre of the front wheel of the bicycle whose diameter is d
- (a) A line parallel to the path of the wheel of the bicycle at a height d cm
- (b) A line parallel to the path of the wheel of the bicycle at a height d/2 cm
- (c) A circle of radius d/2 cm
- (d) A circle of radius d cm
10. To pass an examination, a candidate needs 40% marks. All questions carry equal marks. A candidate just passed by getting 10 answers correct by attempting 15 of the total questions. How many questions are therein the examination
- (a) 25
- (b) 30
- (c) 40
- (d) 45
11. Assume the Earth to be a sphere of radius R. What is the radius of the circle of latitude 40° S
- (a) R cos 40°
- (b) R sin 80°
- (c) R sin 40°
- (d) R tan 40°
12. The centroid of a triangle ABC is 8 cm from the vertex A. What is the length of the median of the triangle through A
- (a) 20 cm
- (b) 16 cm
- (c) 12 cm
- (d) 10 cm
13. The equation whose roots are twice the roots of the equation x2 - 2x + 4 = 0 is
- (a) x2 - 2x + 4 = 0
- (b) x2 - 2x + 16 = 0
- (c) x2 - 4x + 8 = 0
- (d) x2 - 4x + 16 = 0
14. The outer and inner diameters of a circular pipe are 6 cm and 4 cm respectively. If its length is 10 cm, then what is the total surface area in square centimeters
- (a) 55 π
- (b) 110 π
- (c) 150 π
- (d) None of the above
15. A cylindrical rod of iron whose radius is one-fourth of its height is melted and cast into spherical balls of the same radius as that of the cylinder. What is the number of spherical balls
- (a) 2
- (b) 3
- (c) 4
- (d) 5
16. The set S = {x ε N : x + 3 = 3} is a
- (a) Null set
- (b) Singleton set
- (c) Infinite set
- (d) None of the above
17. A telegraph post gets broken at a point against a storm and its top touches the ground at a distance 20 m from the base of the post making an angle 30° with the ground. What is the height of the post
- (a) 40/√3 m
- (b) 20√3 m
- (c) 40√3 m
- (d) 30 m
18. The sum of two numbers is 80. If the larger number exceeds four times the smaller by 5, what is the smaller number
- (a) 5
- (b) 15
- (c) 20
- (d) 25
19. Consider the following numbers:
- 247
- 203
Which of the above numbers is/are prime
- (a) 1 only
- (b) 2 only
- (c) Both 1 and 2
- (d) Neither 1 nor 2
20. If x - 1/x = 1/3, then what is 9x2 + 9/x2 equal to
- (a) 18
- (b) 19
- (c) 20
- (d) 21
21. Consider the following statements:
- If 18 men can earn Rs. 1,440 in 5 days, then 10 men can earn Rs. 1,280 in 6 days.
- If 16 men can earn Rs. 1,120 in 7 days, then 21 men can earn Rs. 800 in 4 days.
Which of the above statement s is/are correct
- (a) 1 only
- (b) 2 only
- (c) Both 1 and 2
- (d) Neither 1 nor 2
22. The number 2784936 is divisible by which one of the following numbers
- (a) 86
- (b) 87
- (c) 88
- (d) 89
23. The equation (1 + n2)x2 + 2ncx + (c2 - a2) = 0 will have equal roots if
- (a) c2 = 1 + a2
- (b) c2 = 1 - a2
- (c) c2 = 1 + n2 + a2
- (d) c2 = (1 + n2)a2
24. AB is a straight line. C is a point whose perpendicular distance from AB is 3 cm. What are the number of points which are at a perpendicular distance of 1 cm from AB and at a distance 4 cm from C?
- (a) 1
- (b) 2
- (c) 3
- (d) 4
25. If tan A = (1 - cos B)/sin B, then what is (2 tan A)/(1 - tan2A) equal to
- (a) (tan B)/2
- (b) 2 tan B
- (c) tan B
- (d) 4 tan B
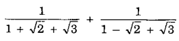
26. What is the value of
![]()
- (a) 1
- (b) √2
- (c) √3
- (d) 2
27. Let C be a circle. A point P moves such that the tangents from P to C include an angle of 60°. What is the locus of P
- (a) Straight line
- (b) A circle concentric with C
- (c) A circle touching C
- (d) A circle intersecting C at two points
28.

29. A garrison of 'n' men had enough food to last for 30 days. After 10 days, 50 more men joined them. If the food now lasted for 16 days, what is the value of n
- (a) 200
- (b) 240
- (c) 280
- (d) 320
30. What is the ratio between times taken by a train 240 m long to cross an electric pole and a bridge of 80 m length
- (a) 2 : 3
- (b) 3 : 4
- (c) 4 : 5
- (d) 5 : 6
31. What is the square root of
![]()
- (a) 4
- (b) 3
- (c) 2
- (d) 1
32. What is the number of circles passing through all the vertices of a given triangle
- (a) One
- (b) Two
- (c) Three
- (d) Infinite
33. Four taps can individual fill a cistern of water in 1 hour, 2 hours, 3 hours and 6 hours respectively. If all the four taps are opened simultaneously, the cistern can be filled in how many minutes
- (a) 20
- (b) 30
- (c) 35
- (d) 40
34. What is the HCF of (x4 - x2 - 6) and (x4 - 4x2 + 3)
- (a) x2 - 3
- (b) x + 2
- (c) x + 3
- (d) x2 + 3
35. If
![]()
then what is (x + y) equal to
- (a) 3
- (b) 2
- (c) 0
- (d) -2
36. Consider the following statements:
- Let P be a point on a straight line L. Let Q, R, S be the points on the same plane containing the line L such that PQ, PR, PS are perpendicular to L. Then there exists no triangle with vertices Q, R, S.
- Let C be a circle passing through three distinct points D, E, F such that the tangent at D to the circle C is parallel to EF. Then DEF is an isosceles triangle.
Which of the statements given above is/are correct
- (a) 1 only
- (b) 2 only
- (c) Both 1 and 2
- (d) Neither 1 nor 2
37. 'X' completes a job in 2 days and 'Y' completes it in 3 days and 'Z' takes 4 days to complete it. If they work together and get Rs. 3,900 for the job, then how much amount does 'Y' get?
- (a) Rs. 1,800
- (b) Rs, 1,200
- (c) Rs. 900
- (d) Rs. 800
38. Water contains 142/7% of hydrogen and the rest is oxygen. In 350 g of water, oxygen will be
- (a) 300 g
- (b) 250 g
- (c) 200 g
- (d) None of the above
39. What is the number whose 20% is 30% of 40
- (a) 90
- (b) 80
- (c) 60
- (d) 50
40. 38 litres of milk was poured into a tub and the tub was found to be 5% empty. To completely fill the tub, what amount of additional milk must be poured
- (a) 1 litre
- (b) 2 litres
- (c) 3 litres
- (d) 4 litres
41. The income of 'A' is 20% higher than that of 'B'. The income of 'B' is 25% less than that of 'C'. What percent less is A's income from C's income
- (a) 7%
- (b) 8%
- (c) 10%
- (d) 12.5%
42. In an examination, 52% candidates failed in English and 42% failed in Mathematics. If 17% candidates failed in both English and Mathematics, what percentage of candidates passed in both the subjects
- (a) 18%
- (b) 21%
- (c) 23%
- (d) 25%
43. If the HCF of three numbers 144, x and 192 is 12, then the number x cannot be
- (a) 180
- (b) 84
- (c) 60
- (d) 48
44. What is the HCF of 3.0, 1.2 and 0.06
- (a) 0.6
- (b) 0.06
- (c) 6.0
- (d) 6.06
45. What is the least number of square tiles required to pave the floor of a room 9 m 99 cm long and 4 m 7 cm broad
- (a) 247
- (b) 277
- (c) 297
- (d) 307
46. If three sides of a right-angled triangle are integers in their lowest form, then one of its sides is always divisible by
- (a) 2
- (b) 5
- (c) 7
- (d) None of the above
47. Consider the following statements:
If p is a prime such that p + 2 is also a prime, then
- p(p + 2) + 1 is a perfect square.
- 12 is a divisor of p + (p + 2) if p > 3.
Which of the above statements is/are correct
- (a) 1 only
- (b) 2 only
- (c) Both 1 and 2
- (d) Neither 1 nor 2
48. When a positive integer n is divided by 5, the remainder is 2. What is the remainder when the number 3n is divided by 5
- (a) 1
- (b) 2
- (c) 3
- (d) 4
49. p% of x rupees is equal to t times q% of y rupees. What is the ratio of x to y
- (a) pt : q
- (b) p : qt
- (c) qt : p
- (d) q : pt
50. A certain amount of money has to be divided between two persons P and Q in the ratio 3 : 5. But it was divided in the ratio of 2 : 3 and thereby Q loses Rs. 10. What was the amount
- (a) Rs. 250
- (b) Rs. 300
- (c) Rs. 350
- (d) Rs. 400
51. What is the value of [log10 (5 log10 100)]2
- (a) 4
- (b) 3
- (c) 2
- (d) 1
52. Which one of the following three-digit numbers divides 9238 and 7091 with the same remainder in each case
- (a) 113
- (b) 209
- (c) 317
- (d) 191
53. If a and b are positive integers, x and y are non-negative integers and a = bx + y, then which one of the following is correct
- (a) 0 ≤ y < a
- (b) 0 < y ≤ b
- (c) 0 < y < a
- (d) 0 ≤ y < b
54. A bag contains Rs. 112 in the form of 1-rupee, 50-paise and 10-paise coins in the ratio 3 : 8 : 10. What is the number of 50-paise coins
- (a) 112
- (b) 108
- (c) 96
- (d) 84
55. Two vessels are full of milk with milk-water ratio 1 : 3 and 3 : 5 respectively. If both are mixed in the ratio 3 : 2, what is the ratio of milk and water in the new mixture?
- (a) 4 : 15
- (b) 3 : 7
- (c) 6 : 7
- (d) None of the above
56. What is the least number of complete years in which a sum of money at 20% compound interest will be more than doubled
- (a) 7
- (b) 6
- (c) 5
- (d) 4
57. A piece of wire 78 cm long is bent in the form of an isosceles triangle. If the ratio of one of the equal sides to the base is 5 : 3, then what is the length of the base
- (a) 16 cm
- (b) 18 cm
- (c) 20 cm
- (d) 30 cm
58. A trader marks 10% higher than the cost price. He gives a discount of 10% on the marked price. In this kind of sales how much percent does the trader gain or lose
- (a) 5% gain
- (b) 2% gain
- (c) 1% loss
- (d) 3% loss
59. The speeds of three cars are in the ratio 4:3:2. What is the ratio between the times taken by the cars to cover the same distance
- (a) 2:3:4
- (b) 3:4:6
- (c) 1:2:3
- (d) 4:3:2
60. The arithmetic mean of 10 numbers was computed as 7.6. It was later discovered that a number 8 was wrongly read as 3 during the computation. What should be the correct mean
- (a) 7.1
- (b) 7.6
- (c) 8.1
- (d) 8.6
For the next 02 (two) items to follow:
The following table gives the frequency distribution of life length in hours of 100 electric bulbs having median life 20 hours:

61. What is the missing frequency x
- (a) 31
- (b) 27
- (c) 24
- (d) 14
62. What is the missing frequency y
- (a) 27
- (b) 24
- (c) 14
- (d) 11
63. If one root of the equation 2x2 + 3x + c = 0 is 0.5, then what is the value of c
- (a) - 1
- (b) - 2
- (c) - 3
- (d) - 4
64. The HCF of two polynomials p(x) and q(x) is 2x(x + 2) and LCM is 24x(x + 2)2(x - 2). If p(x) = 8x3 + 32x2 + 32x, then what is q(x) equal to
- (a) 4x3 - 16x
- (b) 6x3 - 24x
- (c) 12x3 + 24x
- (d) 12x3 - 24x
65. What is the condition that the equation ax2 + bx + c = 0, where a ≠ 0, has both the roots positive
- (a) a, b and c are of same sign
- (b) a and b are of same sign
- (c) b and c have the same sign opposite to that of a
- (d) a and c have the same sign opposite to that of b
66. What is the volume (in cm3) of a spherical shell with 8 cm and 10 cm as its internal and external diameters respectively
- (a) 61π/3
- (b) 122π/3
- (c) 244π/3
- (d) 250π/3
67. ABC is a triangle and AD is perpendicular to BC. It is given that the lengths of AB, BC, CA are all rational numbers. Which one of the following is correct
- (a) AD and BD must be rational
- (b) AD must be rational but BD need not be rational
- (c) BD must be rational but AD need not be rational
- (d) Neither AD nor BD need be rational
68. If 3x × 27x = 9x+4, then what is x equal to
- (a) 4
- (b) 5
- (c) 6
- (d) 7
69. The two diagonals of a rhombus are of lengths 55 cm and 48 cm. If p is the perpendicular height of the rhombus, then which one of the following is correct
- (a) 36 cm < p < 37 cm
- (b) 35 cm < p < 36 cm
- (c) 34 cm < p < 35 cm
- (d) 33 cm < p < 34 cm
70. A toy is in the form of a cone mounted on a hemisphere such that the diameter of the base of the cone is equal to that of the hemisphere. If the diameter of the base of the cone is 6 cm and its height is 4 cm, what is the surface area of the toy in cm2 (Take π = 3.14)
- (a) 93.62
- (b) 103.62
- (c) 113.62
- (d) 115.50
71. The perimeter of a triangular field is 240 m. If two of its sides are 78 m and 50 m, then what is the length of the perpendicular on the side of length 50 m from the opposite vertex
- (a) 43 m
- (b) 52.2 m
- (c) 67.2 m
- (d) 70 m
72. Consider the following statements in respect of a histogram:
- The histogram consists of vertical rectangular bars with a common base such that there is no gap between consecutive bars.
- The height of the rectangle is determined by the frequency of the class it represents.
Which of the statements given above is/are correct
- (a) 1 only
- (b) 2 only
- (c) Both 1 and 2
- (d) Neither 1 nor 2
73. A cistern 6 m long and 4 m wide contains water to a depth of 1.25 m. What is the area of wetted surface
- (a) 40 m2
- (b) 45 m2
- (c) 49 m2
- (d) 73 m2
74. The length of a minute hand of a wall clock is 9 cm. What is the area swept (in cm2) by the minute hand in 20 minutes (Take π = 3.14)
- (a) 88.78
- (b) 84.78
- (c) 67.74
- (d) 57.78
75. What is the number of prime factors of 30030
- (a) Four
- (b) Five
- (c) Six
- (d) None of the above
76. The angle of elevation of the top of a tower at a point on level ground is 45°. When moved 20 m towards the tower, the angle of elevation becomes 60°. What is the height of the tower
- (a) 10(√3 - 1) m
- (b) 10 (√3 + 1) m
- (c) 10 (3 - √3) m
- (d) 10 (3 + √3) m
77. If x5 - 9x2 + 12x - 14 is divisible by (x - 3), what is the remainder
- (a) 0
- (b) 1
- (c) 56
- (d) 184
78. Out of 250 observations, the first 100 observations have mean 5 and the average of the remaining 150 observations is 25/3. What is the average of the whole group of observations
- (a) 6
- (b) 7
- (c) 8
- (d) 9
79. Two circles touch each other internally. Their radii are 4 cm and 6 cm. What is the length of the longest chord of the outer circle which is outside the inner circle
- (a) 4√2 cm
- (b) 4√3 cm
- (c) 6√3 cm
- (d) 8√2 cm
80. The distance between the centres of two circles having radii 4.5 cm and 3.5 cm respective is 10 cm, What is the length of the transverse common tangent of these circles
- (a) 8 cm
- (b) 7 cm
- (c) 6 cm
- (d) None of the above
For the next 02 (two) items to follow:
The item-wise expenditure of a Non-Government Organisation for the year 2008-2009 is given below:

The above data are represented by a pie diagram.
81. What is the sectorial angle of the largest sector
- (a) 120°
- (b) 105°
- (c) 90°
- (d) 85°
82. What is the difference in the sectorial angles of the largest and smallest sectors
- (a) 90°
- (b) 85°
- (c) 82.5°
- (d) 77.5°
83. In a triangle ABC, a line PQ is drawn parallel to BC, points P, Q being on AB and AC respectively. If AB = 3AP, then what is the ratio of the area of triangle APQ to the area of triangle ABC
- (a) 1 : 3
- (b) 1 : 5
- (c) 1 : 7
- (d) 1 : 9
84. What is one of the square roots of 9 - 2√14
- (a) √7 - √3
- (b) √6 - √3
- (c) √7 - √5
- (d) √7 - √2
85.

86. ABC is an equilateral triangle inscribed in a circle with AB = 5 cm. Let the bisector of the angle A meet BC in X and the circle in Y. What is the value of AX.AY
- (a) 16 cm2
- (b) 20 cm2
- (c) 25 cm2
- (d) 30 cm2
87. Consider the following statements:
Statement-I: Let PQR be a triangle in which PQ = 3 cm, QR = 4 cm and RP = 5 cm. If D is a point in the plane of the triangle PQR such that D is either outside it or inside it, then DP + DQ + DR > 6 cm.
Statement-II: PQR is a right-angled triangle.
Which one of the following is correct in respect of the above two statements
- (a) Both statement-I and statement-II are individual true and statement-II is the correct explanation of statement-I.
- (b) Both statement-I and statement-II are individual true and statement-II is not the correct explanation of statement-I.
- (c) Statement-I is true and statement-II is false.
- (d) Statement-I is false and statement-II is true.
88. Two unequal circles are touching each other externally at P. APB and CPD are two secants cutting the circles at A, B, C and D. Which one of the following is correct
- (a) ACBD is a parallelogram
- (b) ACBD is a trapezium
- (c) ACBD is a rhombus
- (d) None of the above
89. ABC is a triangle right-angled at B and D is a point on BC produced (BD > BC), such that BD = 2 DC. Which one of the following is correct
- (a) AC2 = AD2 - 3CD2
- (b) AC2 = AD2 - 2CD2
- (c) AC2 = AD2 - 4CD2
- (d) AC2 = AD2 - 5CD2
90. Let LMNP be a parallelogram and NR be perpendicular to LP. If the area of the parallelogram is six times the area of triangle RNP and RP = 6 cm, what is LR equal to
- (a) 15 cm
- (b) 12 cm
- (c) 9 cm
- (d) 8 cm
91. The material of a solid cone is converted into the shape of a solid cylinder of equal radius. If the height of the cylinder is 5 cm, what is the height of the cone
- (a) 15 cm
- (b) 20 cm
- (c) 25 cm
- (d) 30 cm
92. Let D, E be the points on sides AB and AC respectively of a triangle ABC such that DE is parallel to BC. Let AD = 2 cm, DB = 1 cm, AE = 3 cm and area of triangle ADE = 3 cm2. What is EC equal to
- (a) 1.5 cm
- (b) 1.6 cm
- (c) 1.8 cm
- (d) 2.1 cm
93. A sum of money on compound interest amounts to Rs. 9,680 in 2 years and to Rs. 10,648 in 3 years. What is the rate of interest per annum
- (a) 5%
- (b) 10%
- (c) 15%
- (d) 20%
94. The curved surface of a cylinder is 1000 cm2. A wire of diameter 5 mm is wound around it, so as to cover it completely. What is the length of the wire used
- (a) 22 m
- (b) 20 m
- (c) 18 m
- (d) None of the above
95. Three congruent circles each of radius 4 cm touch one another. What is the area (in cm2) of the portion included between them
- (a) 8π
- (b) 16√3 - 8π
- (c) 16√3 - 4π
- (d) 16√3 - 2π
96. A man can walk uphill at the rate of 2.5 kmph and downhill at the rate of 3.25 kmph. If the total time required to walk a certain distance up the hill and return to the starting position is 4 hr 36 min, what is the distance he walked up the hill
- (a) 3.5 km
- (b) 4.5 km
- (c) 5.5 km
- (d) 6.5 km
97. What is cot 15° cot 20° cot 70° cot 75° equal to
- (a) -1
- (b) 0
- (c) 1
- (d) 2
98. If sin 3θ = cos (θ - 2°) where 3θ and (θ - 2°) are acute angles, what is the value of θ
- (a) 22°
- (b) 23°
- (c) 24°
- (d) 25°
99. What is (sin6θ - cos6θ)/(sin2θ - cos2θ) equal to
- (a) sin4θ - cos4θ
- (b) 1 - sin2θ cos2θ
- (c) 1 + sin2θ cos2θ
- (d) 1 - 3 sin2θ cos2θ
100. Consider the following:
- tan2θ - sin2θ = tan2θ sin2θ
- (cosec θ - sin θ) (sec θ - cos θ) (tan θ + cot θ) = 1
Which of the above is/are correct
- (a) 1 only is the identity
- (b) 2 on is the identity
- (c) Both 1 and 2 are the identities
- (d) Neither 1 nor 2 is the identity